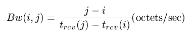
One-way bandwidth does not depend on one way delay, but on the amount of information exchanged between the two hosts in a measurable time.
This can be measured on the target host, as the time needed to receive a certain amount of data.

In a playback environment, this metric reflects the fidelity of the
received signal.
Next: Jitter asymmetry
Previous: Motivations